Tetapi sebelum itu pernahkah kamu mengerti apa yang dimaksud dengan resensi buku. Review buku ilmu pengetahuan sosial.
                        Contoh Resensi Buku Ilmu Pengetahuan Populer
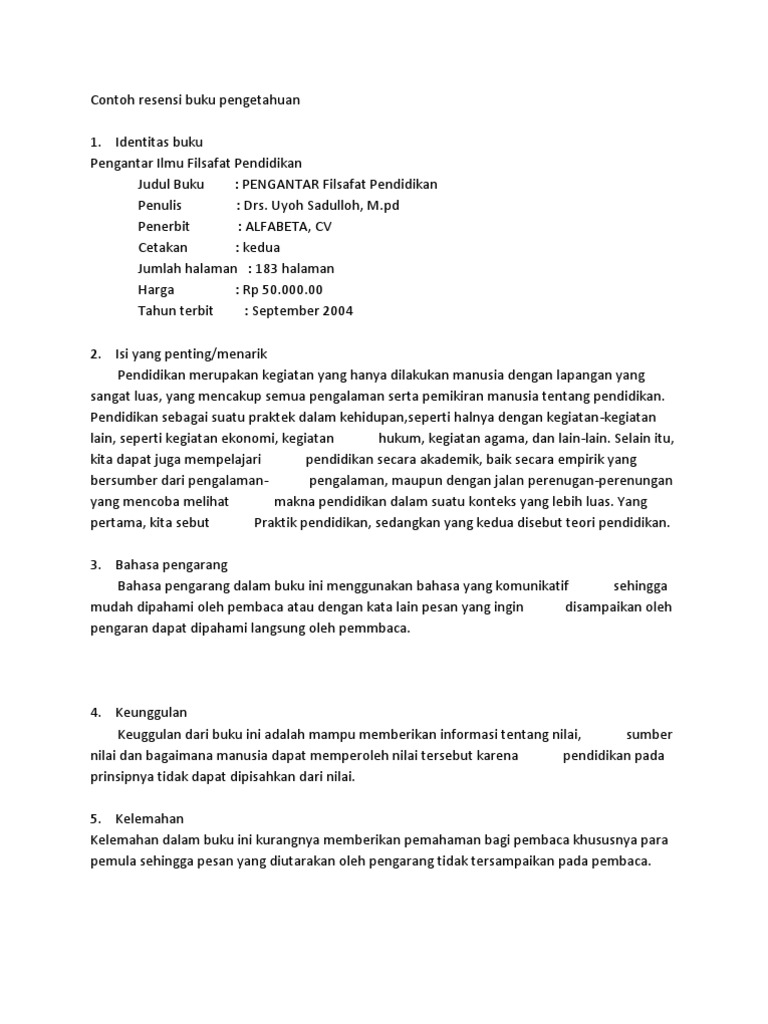
Contoh buku ilmu pengetahuan. Hak dan kewajiban yang sama konon dibawa oleh setiap insan sejak ia terlahir ke dunia ini. Kamu berada di website yang tepat. Merupakan upaya pencarian pengetahuan yang dapat diuji dan diandalkan yang dilakukan secara sistematis menurut tahap tahap yang teratur dan berdasarkan prinsip prinsip serta prosedur tertentu sedangkan tekonologi adalah penerapan penemuan penemuan ilmiah untuk memecahkan masalah. 3 contoh resensi buku ilmu pengetahuan populer pandoby free download game software and movies for pc 3 contoh resensi buku ilmu pengetahuan populer. Namun tidak hanya itu si sini kamu juga akan mempelajari pengertian dan tujuan resensi jenis jenis format baku atau unsur unsur resensi serta langkah langkah membuat resensi buku pengetahuan. Demikianlah pembahasan mengenai 7 contoh resensi buku non fiksi fiksi pengetahuan pendidikan remaja pelajaran dan bahasa indonesia semoga dengan adanya ulasan tersebut dapat menambah wawasan dan pengetahuan kalian semua terima kasih banyak atas kunjungannya.
Sebelum kita belajar untuk meresensi sebuah buku kita semestinya memahami dulu arti atau makna dari resensi itu sendiri. Contoh resensi buku pada artikel ini kita akan menjelaskan bagaimana sistem meresensi buku dengan baik beserta misalnyamelainkan disini kita akan membahas lebih terhadap buku pengetahuan yah atau yang umum disebut dengan buku non fiksi. Contoh resensi buku pengetahuan akan menjadi pembahasan kali ini. Ilmu pengetahuan alam ipa atau ilmu dalam arti sempit dijelaskan di atas adalah disiplin yang terdiri dari ilmu ilmu fisik fisika dan ilmu kehidupan biologi. Menurut ngatimin 1990 pengetahuan adalah sebagai ingatan atas bahan bahan yang telah dipelajari dan mungkin ini menyangkut tentang mengikat kembali sekumpulan bahan yang luas dari hal hal yang terperinci oleh teori tetapi apa yang diberikan menggunakan ingatan akan keterangan yang sesuai. Pengertian ilmu pengetahuan teknologi filsafat syarat perbedaan ciri proses sumber teori para ahli.
Identitas buku judul buku. Sebenarnya banyak sekali contoh resensi seperti contoh resensi novel contoh resensi buku fiksi dan lainnyaberikut ini pembahasan mengenai resensi buku dan contoh. Yang meliputi ilmu fisika adalah ilmu astronomi kimia geologi mineralogi meteorologi dan fisika sedangkan ilmu kehidupan termasuk anatomi fisiologi zoologi citologi embriologi mikrobiologi. Contoh resensi buku ilmu pengetahuan umum dan pendidikan populer meresensi buku semua yang pernah sekolah atau sedang belajar untuk menulis pasti pernah mengalaminya apalagi dia memang seorang penulis. Contoh resensi buku kamu sedang mencari informasi perihal resensi buku untuk tugas sekolah atau ingin belajar mengenai cara meresnsi yang baik dan benar beserta contoh resensinya. Oke kita disini akan mengulas secara lengkap dan jelas mengenai resensi buku.
Suwarto wa mpd dan drs.















