Itulah kumpulan soal gagasan utamaide pokok dan jawabannya yang mungkin akan berguna bagi sobat semua untuk berlatih dalam menentukan gagasan utama. Pilihan jawaban b c dan d merupakan kalimat penjelas dalam paragraf tersebut.
                        Soal Persiapan Un 2017 2018 Bahasa Indonesia Smp Mts
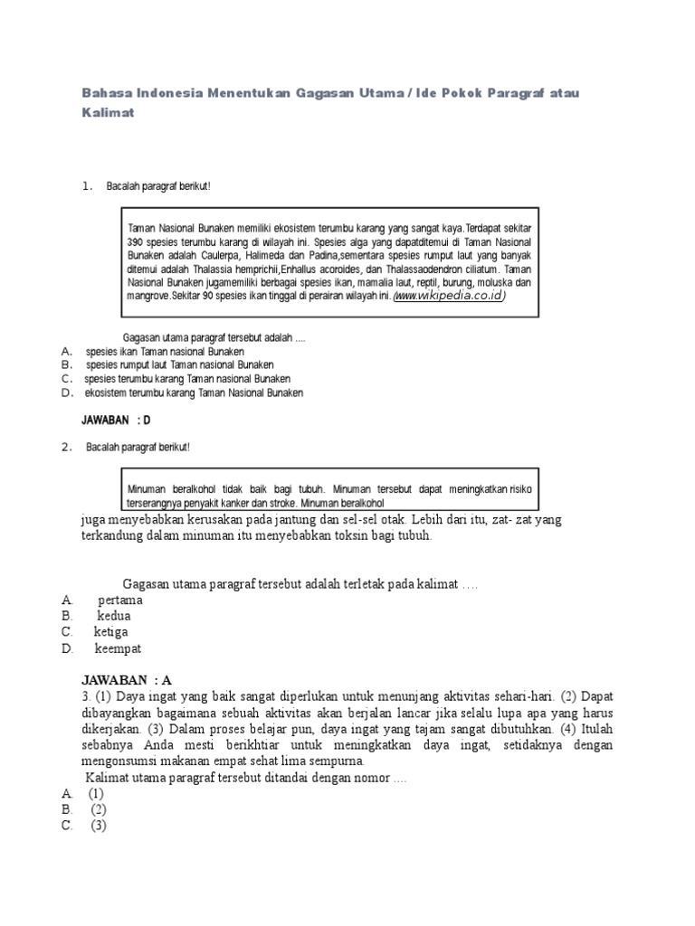
Contoh soal gagasan pokok. Tema ini kemudian dikembangkan melalui kalimat kalimat pendukung. Selalu berhemat energi materi. Kalimat yang mengandung gagasan pokok merupakan kalimat utama. Menentukan gagasan utama merupakan salah satu soal yang bisa dibilang wajib tampil di soal un mata pelajaran bahasa indonesia. A demikianlah yang dapat admin bagikan tentang contoh soal gagasan utama kalimat utama dan simpulan teks dalam ujian nasional bahasa indonesia. Jadi jawaban tepat terdapat pada pilihan jawaban a.
Soal soal bahasa indonesia menentukan gagasan p okok jasa pembuatan administrasi bpbk di sekolah dan ptkbk hubungi kami di 081222940. Dengan memahami ini sebelum latihan mencari ide pokok setidaknya sobat dapur imajinasi punya bekal yang mantap dalam mengerjakan soal tentang mencari ide pokok. Untuk mendapatkan contoh soal beserta kunci jawabannya bisa download latihan tema 1 kelas 4 gagasan pokok dan gagasan pendukung dalam format word di bawah ini. Gagasan utama berisi pokok bahasan yang merupakan tema sebuah wacana. Jika sobat sering sering berlatih maka tidak menutup kemungkinan sobat akan menjadi ahli atau pintar. Contoh soal sma menentukan gagasan utama ide pokok alat ini bekerja melalui tiga tahap proses radiasi pemindahan panas matahari melalui kaca bening konveksi pengaliran panas melalui rongga udara dari sela sela kaca bening dan seng bergelombang dan.
Dari tahun ke tahun soal jenis ini selalu tampil dengan berbagai paragraf baru yang tak jarang membuat peserta un terkecoh. Kalian dapat mengetahui gagasan utama sebuah bacaan apabila kalian telah membaca sebuah wacana secara utuh. Oleh karena itu kami coba berikan beberapa contoh soal tentang menentukan gagasan utama. Contoh gagasan utama dan contoh gagasan penjelas silahkan baca bacaan dibawah ini. Sebelum lanjut ke bagian kumpulan soal mencari ide pokok dapur imajinasi akan menjelaskan contoh mencari ide pokok dalam sebuah bacaan yang terdiri dari tiga paragraf. Cukup sekian dari saya terima kasih.
Menentukan gagasan pokok dan gagasan pendukung dari teks informasi penting dari bacaan isi pesan dalam posteriklan layanan masyarakat membuat kalimat dari sebuah kata. Kelas 4 a b c tahun pelajaran 2016 2017 tema 2.












