Ft dari fungsi berikut. Jadi transformasi laplace untuk turunan dari fx diberikan dalam bentuk transformasi laplace dari fx itu sendiri dan nilai dari fx untuk x 0.
                        Modul 3 Transformasi Laplace
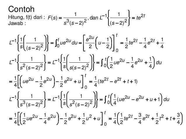
Contoh soal transformasi laplace. Jawaban contoh soal transformasi laplace 1. Kelebihan lain metode transformasi laplace. 2 2 3 3. Suatu kelebihan metode transformasi lapalace adalah bahwa metode ini memungkinkan penggunaan teknik grafis untuk meramal kinerja sistem tanpa menyelesaikan persamaan diferensial sistem. L 10 sin 4t 4t2 jawab. Sebelum anda menggunakan fakta ini perhatikanlah dua sifat transformasi laplace dalam frame berikut.
Fungsi dasar transformasi laplace temukan transformasi laplace dari ft 1 solusi 1. Academiaedu is a platform for academics to share research papers. Transformasi laplace persamaan differensial. Pada kesempatan ini id ku akan memposting soal dan pembahasan rotasi perputaran dengan matriks dimana rotasi perputaran ini sendiri merupakan bagian dari materi transformasi geometri. Tentukanlah transformasi lapalce invers. A b didefinisikan oleh diagram.
L 10 sin 4t 4t2 l10sin 4t l4t2 10lsin 4t 4lt2 10. Contoh pembahasan invers dari fungsi september 3 2017 by mudahmatematika kali ini kami akan membahas contoh pembahasan invers dari fungsi yuk simak soal dan pembahasannya dibawah. Simpan simpan contoh soal dan jawaban transformasi laplace untuk nanti. F 1 x f 1 y f 1 z pembahasan. 11 deret fourier 1 9 contoh soal transformasi lapace 5 8 transformasi laplace 5 7 transformasi lapalce 4 tabel transformasi lap. Maka yang mana divergen ³ ³ o f f t st t l ste dt 0 0 1 lim f ¼ º ª ¼ º ª st o f ³ oo s e s s e e dt t t st t lim st lim lim 1 0.
St positif untuk t0. Transformasi laplace balik dari variabel tidak bebas dapat diperoleh dengan menggunakan tabel transformasi laplace. Karusel sebelumnya karusel berikutnya. F 1x adalah himpunan nol ø karena tidak ada elemen a yang dipetakan kepada x. Academiaedu is a platform for academics to share research papers. F 1y abc.
8 8 mendukung tandai dokumen ini sebagai bermanfaat 0 0 menolak tandai dokumen ini sebagai tidak bermanfaat tanamkan.














