Meskipun demikian dalam berbagai literatur bisa ditemukan apa saja yang termuat dalam sebuah jawaban atas gugatan. Dalam perdata on may 22 2015 hukum 3 comments surat gugatan.

Jawaban Gugatan
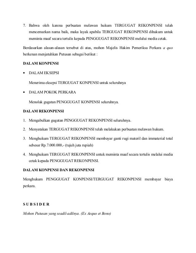
Contoh surat jawaban gugatan. Contoh surat jawaban dan gugatan rekonpensi subang 27 april 2009 perihal. Demikian beberapa contoh surat jawaban gugatan untuk berbagai perkara. Home advokasi contoh surat gugatan hukum pengadilan perdata contoh jawaban gugatan perkara perdata pmh recommended contoh jawaban gugatan perkara perdata pmh recommended pena merah 330 am no comments. Semoga bermanfaat untuk anda yang sedang menyusun format surat jawaban gugatan. Contoh surat gugatan dan jawabannya. Contoh surat gugatan perdata tentang sengketa jual beli hak dan gugatan wanprestasi surat gugatan perdata merupakan sebuah surat yang berisikan tentang tuntutan atas hak hak yang dimiliki oleh pihak penggugat dan terbukti hak hal tersebut telah diambil oleh pihak tergugat.
Dengan ini perkenankan tergugat menyampaikan jawaban jawaban atas gugatan cerai tertanggal 01 mei 2015 yang pada pokoknya adalah sebagai berikut. Mohon maaf apabila terdapat kesamaan namatempatinformasi lain karena surat yang dibuat hanya bertujuan sebagai percontohan tanpa ada maksud apapun. Gugatan cerai makassar. Dan yang terpenting sebenarnya jawaban atas gugatan adalah jawaban atas apa apa yang sudah didalilkan penggugat dalam surat gugatannya. Jawaban dan gugatan rekonpensi dalam perkara no416 pdt. Contoh surat gugatan lihat juga menelusuri desa terindah di dunia.