Ada banyak peraturan yang harus kita taati dan kita patuhi dalam bekerja dan menempuh pendidikan. Peraturan pemerintah nomor 53 tahun 2010 tentang disiplin pegawai negeri sipil lembaran negara republik indonesia tahun 2010 nomor.
                        16 Contoh Surat Teguran Pns Disiplin Amp Tidak Masuk Kerja
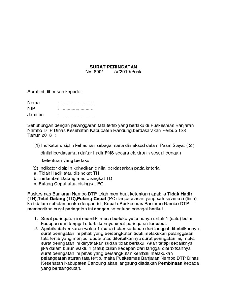
Contoh surat teguran tertulis pegawai negeri sipil. Pegawai negeri sipil maupun seorang karyawan. Contoh surat teguran peringatan 1 pns pegawai negeri sipil sebagai seorang pns maka wajib untuk kerja mulai dari hari senin sampai hari jumat kecuali saat hari merah atau hari besar. Temukan apa yang anda cari disini seperti. Jadi jika seorang pns tidak masuk kerja satu hari atau lebih maka hal tersebut sudah melanggar peraturan. Contoh surat teguran pns sebagai seorang pns atau pegawai negeri sipil maka tentu harus mematuhi semua peraturan yang sudah ditetapkan. 4 contoh surat peringatan resmi 1.
Tidak masuk selama 6 sd 10 hari kerja. Surat peringatan biasanya dikeluarkan oleh hrd atau personalia. Contoh surat peringatan karyawan sebagai teguran tertulis bagi karyawan yang telah menyalahi melanggar ketentuan atau peraturan yang berlaku di perusahaan pihak perusahaan berhak untuk mengeluarkan surat teguran yang berbentuk surat peringatan sp1 sp2 sp3 sesuai dengan tingkatan kesalahan yang telah dilakukan. Pendidikan pengetahuan teknologi contoh surat kumpulan cerpen kumpulan status. Keputusan hukuman disiplin teguran tertulis. Contoh surat teguran dalam kehidupan sehari hari tentu kita pernah ditegur oleh seseorang entah dari keluarga teman dan orang lain.
Ulang dan tidak mengindahkan teguran yang sudah diberikan dalam bentuk tertulis. Surat ini berisikan informasi mengenai nama yang bersangkutan yang telah melakukan pelanggaran dan juga dijelaskan mengenai pasal pasal yang berkaitan dengnan aturan untuk pns. Contoh surat teguran tertulis pns pp 53 tahun 2010. Contoh yang kedua adalah mengenai surat teguran yang dilayangkan kepada pns atau pegawai negeri sipil yang tidak masuk kerja. Begitu pula dalam hal pekerjaan teguran dalam pekerjaan bisa bermakna baik dan buruk. Seorang pegawai negeri sipil harus bisa menjaga disipin kerja sebagai seorang anggota pns.
Hal ini sudah diatur dengan detail pada peraturan pemerintah no. Itulah beberapa contoh surat teguran pns yang bisa anda pergunakan sebagai bahan referensi. Memang peraturan di perusahaan swasta umumnya lebih ketat dari pada peraturan untuk pegawai negeri sipil namun bukan berarti jika seorang pns bisa bertindak sesuka hati. Untuk membatasi atau mencegah pelanggaran ini maka atasan berhak memberikan contoh suat teguran tertulis pegawai negeri sipil. Teguran baik adalah teguran yang disampaikan dengan maksud menyapa seseorang. 15 contoh surat teguran untuk karyawan pns dan siswa 15 contoh surat teguran untuk karyawan pns.
Negara nomor 21 tahun 2010 tentang ketentuan pelaksanaan peraturan pemerintah nomor 53 tahun 2010 tentang disiplin pegawai negeri sipil.















